Астрономы уточнили параметры двойной звезды UZ Draconis с помощью телескопа TESS
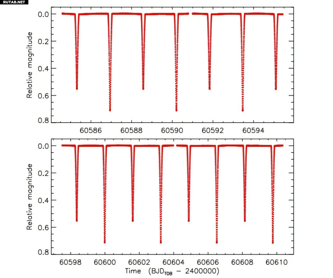
Фотометрия UZ Draconis от TESS (сектор 84). Измерения потока преобразованы в единицы звездной величины, после чего вычтен медианный уровень. Другие секторы, использованные в исследовании, очень похожи и поэтому не отображены. Автор: arXiv (2025). DOI: 10.48550/arxiv.2510.27389
Астрономы из Кильского университета (Великобритания) использовали охотник за планетами — телескоп TESS (NASA) — для исследования полностью затменной двойной системы UZ Draconis. Результаты новых наблюдений, опубликованные 31 октября на сервере препринтов arXiv, позволили точнее определить свойства этой системы.
Затменные двойные системы состоят из двух звезд, которые обращаются друг вокруг друга в плоскости, совпадающей с лучом зрения наблюдателя. Из-за этого компоненты системы периодически затмевают друг друга, что проявляется на кривых блеска этих систем как периоды практически постоянного света, прерываемые регулярными падениями яркости.
Разделенные затменные двойные играют ключевую роль для астрономов, тестирующих звездные модели. Это связано с тем, что массы и радиусы обеих звезд можно напрямую измерить по кривым блеска и лучевых скоростей системы. Среди таких систем особый интерес представляют те, в которых наблюдаются полные затмения, поскольку моменты контактов во время затмения позволяют измерить радиусы звезд с наивысшей точностью.
UZ Draconis как раз является такой полностью затменной системой, состоящей из двух звезд F-типа на круговой орбите с периодом 3,26 дня. Предыдущие наблюдения показали, что радиус главной звезды составляет 1,295 солнечного радиуса, а масса — 1,306 солнечной массы.
Теперь команда астрономов под руководством Джона Саутворта из Кильского университета вновь изучила UZ Draconis с помощью TESS, надеясь определить параметры системы с беспрецедентной точностью.
«Система наблюдалась спутником TESS в 41 секторе, что в сумме дало 664 809 высококачественных измерений потока. Мы моделируем эти данные и публикуем лучевые скорости, чтобы с высокой точностью определить физические свойства системы», — пояснили исследователи.
Новые наблюдения TESS позволили определить, что массы главной и второй звезды составляют 1,291 и 1,193 солнечной массы соответственно. Это дает массовое отношение системы на уровне примерно 0,92.
Размеры двух компонентов UZ Draconis также оказались немного меньше, чем предполагалось ранее. Радиус главной звезды составил 1,278 солнечного радиуса, а радиус её компаньона — 1,122 солнечного радиуса.
Кроме того, расстояние до UZ Draconis было определено как 605,4 световых года, что согласуется с измерениями космического аппарата Gaia. В целом, определенные свойства системы указывают на её возраст около 600 миллионов лет и на небольшое превышение металличности по сравнению с Солнцем.
Астрономы добавили, что кривые блеска UZ Draconis демонстрируют модуляцию из-за звездных пятен с орбитальным периодом, что указывает на приливную синхронизацию звезд. При этом свидетельств пульсаций, эксцентриситета орбиты или изменений орбитального периода обнаружено не было.
Исследование основано на анализе огромного массива данных, собранных телескопом TESS. Этот космический аппарат, первоначально предназначенный для поиска экзопланет, также оказался чрезвычайно полезным инструментом для изучения двойных звездных систем.















0 комментариев