Астрономы обнаружили активную контактную двойную звезду с экстремально низким отношением масс
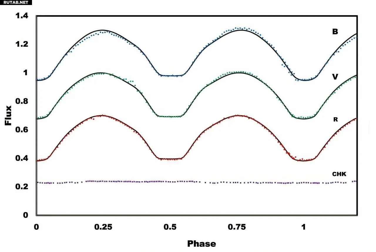
Наблюдаемые и модельные кривые блеска для V717 Андромеды. Синяя кривая показывает B-диапазон, зеленая — V-диапазон, красная — R-диапазон; фиолетовая кривая показывает звезду сравнения. Черные линии представляют модельные кривые блеска белого карлика для каждого диапазона. Кривые смещены по вертикали для наглядности. Автор: arXiv (2025). DOI: 10.48550/arxiv.2509.23278
Астрономы из Австралии и Сербии провели многодиапазонные фотометрические наблюдения двойной звезды V717 Андромеды. Наблюдения предоставили важную информацию о свойствах этой системы, показав, что это активная контактная двойная система с экстремально низким отношением масс. Новые результаты подробно описаны в исследовательской статье, опубликованной 27 сентября на сервере препринтов arXiv.
Контактные двойные системы состоят из двух звезд, которые обращаются так близко друг к другу, что имеют общую газовую оболочку. Компоненты таких систем часто имеют сходные эффективные температуры и светимости, независимо от их масс.
V717 Андромеды была впервые идентифицирована как контактная двойная система в 2013 году. Ее видимая звездная величина в V-диапазоне достигала 13,4 mag, а орбитальный период составлял примерно 0,317 дня.
Поскольку до настоящего времени не проводилось целенаправленных наблюдений V717 Андромеды, о ее природе было известно очень мало. Поэтому команда астрономов под руководством Сурджита Вадхвы из Университета Западного Сиднея в Австралии решила использовать 1,4-метровый телескоп Миланковича в Сербии для исследования этой системы. Их исследование было дополнено архивными данными различных астрономических обзоров.
Наблюдения команды Вадхвы предоставили важную информацию о физических свойствах двух звезд в системе V717 Андромеды.
«Геометрическое решение кривой блеска в сочетании с оценками расстояния и поглощения используется для определения абсолютных параметров системы», — пояснили исследователи.
Оказалось, что первичная звезда в системе имеет радиус около 1,14 солнечных радиусов, а ее масса сравнима с массой Солнца. Вторичная звезда примерно в два раза меньше и имеет массу примерно 0,197 солнечных масс. Таким образом, эти находки делают V717 Андромеды системой с экстремально низким отношением масс.
Наблюдения показали, что первичная и вторичная звезды V717 Андромеды разделены расстоянием около 2,13 солнечных радиусов и имеют эффективные температуры 5895 K и 5813 K соответственно. Расстояние до системы составило 2811 световых лет.
Кроме того, собранные данные указывают, что V717 Андромеды не проявляет признаков так называемого эффекта О'Коннелла — одного из маркеров повышенной хромосферной и корональной активности в контактных двойных системах. Однако астрономы сообщают, что есть ряд других маркеров, сильно свидетельствующих о хромосферной активности системы, таких как линии инфракрасного триплета кальция II (CaII IRT).
Исследование также показало, что предсказываемый диапазон массового отношения неустойчивости для V717 Андромеды составляет примерно 0,065-0,060. Таким образом, массовое отношение для V717 Андромеды на уровне 0,197 означает, что система стабильна и не является потенциальным кандидатом на слияние.
ИИ: Открытие таких экстремальных двойных систем, как V717 Андромеды, продолжает расширять наше понимание разнообразия звездных систем во Вселенной. Особенно интересно, что эта система демонстрирует признаки активности, несмотря на отсутствие классических маркеров вроде эффекта О'Коннелла, что указывает на сложность физических процессов в тесных двойных системах.
















0 комментариев