Генетика может влиять на выбор академической специальности
Выбор академической специальности — будь то изящные искусства или финансы — является одним из самых важных решений в нашей жизни. Он определяет не только карьерные траектории, но также доход, рождаемость и благополучие. По мере расширения доступа к образованию то, что мы изучаем, теперь играет более важную роль в формировании жизненных результатов, чем продолжительность обучения.
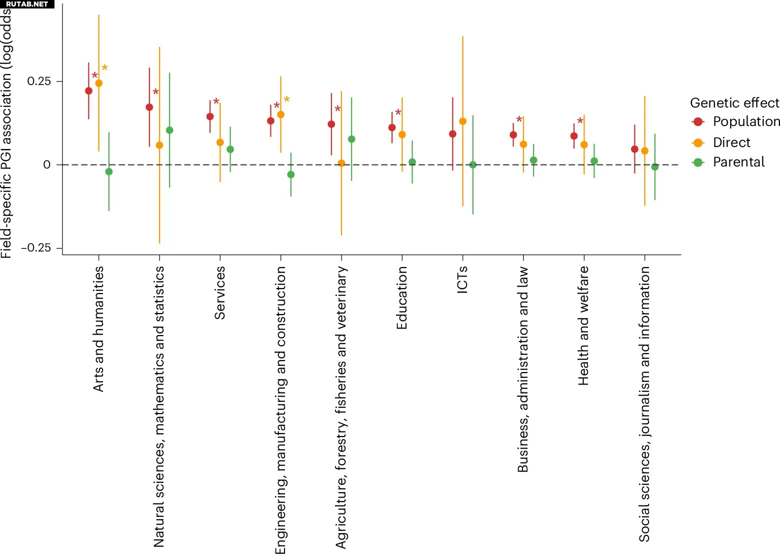
Новое исследование, проведенное междисциплинарной командой ученых из Норвегии, Финляндии и Нидерландов и опубликованное в журнале Nature Genetics, впервые показало, что генетические факторы связаны с выбором образовательной области. Исследователи проанализировали генетические данные и данные образовательных реестров более чем 460 000 человек из Норвегии и Финляндии по 10 широким предметным областям, включая здравоохранение, информационные и коммуникационные технологии, искусство, естественные науки и инженерию.
Они обнаружили, что генетические вариации вносят — скромный, но измеримый — вклад в различия в специализации по образовательным областям. Используя инновационное генетическое моделирование, они выявили два основных измерения, формирующих выбор области: «Техническое vs. Социальное» и «Практическое vs. Абстрактное». Эти измерения помогают объяснить структуру, стоящую за выбором людей, и тесно согласуются с устоявшимися моделями профессиональных интересов в социальных науках.
Эти генетические паттерны также коррелируют с чертами личности, социально-экономическими показателями, а также психическим и физическим здоровьем, что позволяет предположить, что они отражают более широкие жизненные пути, формируемые как биологическими, так и социальными процессами.
Новизна заключается не только в результатах, но и в методологии. Это одно из первых исследований, применивших генетические методы в области образования и интерпретировавших результаты с использованием подходов как генетики, так и социальных наук. Оно строит мосты между дисциплинами и показывает, как генетические данные могут дополнять — а не заменять — наше понимание социального неравенства.
Важно отметить, что авторы предостерегают от детерминистических интерпретаций. Генетические эффекты невелики, вероятностны и всегда вплетены в социальные и культурные среды. Это включает гендерные нормы, влияние учителей и то, как общества поощряют одни области больше, чем другие — даже в скандинавских странах, где образование общедоступно.
«Мы надеемся, что это исследование стимулирует более содержательные дискуссии о том, как люди находят свой путь в жизни. Речь не о том, чтобы предсказывать карьеру по ДНК. Речь о признании того, как интересы, таланты и возможности действуют в тандеме», — говорит постдок и ведущий автор исследования Роза Чизман из Университета Осло.
ИИ: Это исследование 2025 года интересно тем, что оно не пытается свести выбор профессии к генам, а показывает сложное взаимодействие биологии и социума. В эпоху популярности ДНК-тестов особенно важно подчеркивать, что генетика — лишь один из многих факторов, а не приговор.
















0 комментариев