Астрономы обнаружили самый яркий в рентгеновских лучах радиогромкий квазар
Художественное представление аккреционного диска в ULAS J1120+0641, очень далёком квазаре, питаемом сверхмассивной чёрной дырой. Автор: ESO/M. Kornmesser
Международная группа астрономов использовала космический аппарат «Спектр-РГ» и наземные телескопы для исследования далёкого квазара ID830. Результаты наблюдений, опубликованные 7 ноября на сервере препринтов arXiv, указывают на то, что ID830 является самым ярким в рентгеновских лучах радиогромким квазаром из известных на сегодняшний день.
Квазары, или квазизвёздные объекты, — это активные ядра галактик в центрах активных галактик, питаемые сверхмассивными чёрными дырами. Они демонстрируют очень высокие болометрические светимости и испускают электромагнитное излучение, наблюдаемое в радио-, инфракрасном, видимом, ультрафиолетовом и рентгеновском диапазонах.
Яркий, ярче, самый яркий
Особый интерес представляет радиогромкое активное ядро галактики eFEDS J084222.9+0010000, или ID830, с красным смещением 3,43. Его болометрическая светимость достигает примерно 10^46 эрг/с, что позволяет предположить, что в его центре находится либо чрезвычайно массивная чёрная дыра, близкая к пределу в 10 миллиардов солнечных масс, либо чёрная дыра в фазе сверхэддингтоновской аккреции.
Группа астрономов под руководством Сакико Обути из Университета Васэда в Токио, Япония, решила исследовать этот вопрос, проведя многодиапазонное изучение ID830.
«Комбинируя рентгеновскую спектроскопию eROSITA, УФ-оптические спектры SDSS и Subaru/MOIRCS, а также обширные радиоданные LOFAR, GMRT, FIRST, ASKAP и VLASS, мы выявили, что ID830 представляет собой редкий пример сверхэддингтоновского радиогромкого квазара, демонстрирующего экстремальный рентгеновский избыток», — поясняют исследователи.
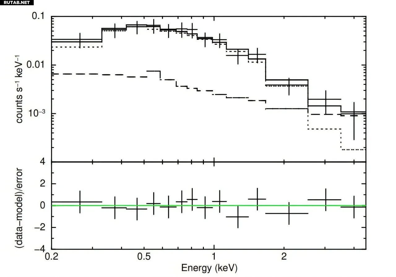
Рентгеновский спектр ID830, аппроксимированный с помощью Xspec. Автор: arXiv (2025). DOI: 10.48550/arxiv.2511.05029
Исследование показало, что ID830 имеет рентгеновскую светимость на уровне 10^44 эрг/с, что делает его одним из самых ярких в рентгеновских лучах радиогромких квазаров, обнаруженных на сегодня. Его болометрическая светимость составила около 7.6×10^45 эрг/с, что даёт эддингтоновское отношение 1.4, подтверждая сверхэддингтоновскую аккрецию.
Согласно исследованию, ID830 имеет умеренное покраснение около 0.39 mag. Масса сверхмассивной чёрной дыры была оценена примерно в 440 миллионов солнечных масс.
Кроме того, выяснилось, что ID830 демонстрирует высокое отношение ультрафиолетовой к рентгеновской светимости, которое составило -1.2. Это значение выше по сравнению с другими квазарами и «маленькими красными точками» в сверхэддингтоновской фазе со схожими ультрафиолетовыми светимостями. Предполагается, что «маленькие красные точки» являются разновидностью ранних активных ядер галактик со сверхмассивными чёрными дырами.
Расчётная кинетическая мощность джета ID830, составляющая 10^45–10^46 эрг/с, сравнима с его радиационной светимостью. Это позволяет предположить, что механическая энергия джета может эффективно взаимодействовать с межзвёздной средой галактики-хозяина.
Переходный квазар
Авторы статьи отмечают, что полученные результаты указывают на то, что ID830 находится в переходной фазе, в которой корона и джет одновременно активизируются после всплеска аккреции.
«ID830 может представлять собой пост-вспышечный сверхэддингтоновский квазар, заполняющий пробел между субэддингтоновскими квазарами и слабыми в рентгеновском диапазоне, быстро аккрецирующими «маленькими красными точками», недавно идентифицированными с помощью JWST», — заключают учёные.
Больше информации: Sakiko Obuchi et al, Discovery of an X-ray Luminous Radio-Loud Quasar at z=3.4: A Possible Transitional Super-Eddington Phase, arXiv (2025). DOI: 10.48550/arxiv.2511.05029














0 комментариев