Разрешён парадокс турбулентности во вращающихся потоках
Исследователи из Окинавского института науки и технологий (OIST) разрешили давний парадокс в физике турбулентности, который не давал покоя учёным на протяжении десятилетий. Противоречие между универсальной теорией Колмогорова о мелкомасштабной турбулентности и поведением турбулентных потоков Тейлора-Куэтта наконец устранено.
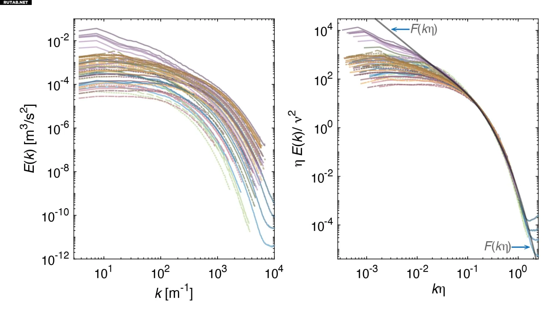
Потоки Тейлора-Куэтта создаются между двумя независимо вращающимися цилиндрами и служат эталоном для изучения сложных турбулентных явлений, таких как ураганы или процессы в протопланетных дисках. Несмотря на универсальность теории Колмогорова, описывающей, как энергия передаётся от крупных вихрей к мелким, она, казалось, не работала для этих важнейших потоков.
После девяти лет разработки уникальной экспериментальной установки OIST-TC, способной создавать потоки с рекордными числами Рейнольдса до 106, команда под руководством профессора Пинаки Чакрабарти нашла решение. Учёные расширили анализ за пределы знаменитого «закона -5/3» Колмогорова, применив его предсказания ко всей области мелкомасштабных течений, включая самые маленькие вихри, где энергия диссипирует в тепло.
«Когда мы масштабировали измерения в соответствии с общей теорией, мы получили ту самую универсальность, которую предсказывал Колмогоров. Теоретическая основа работает», — объяснил первый автор работы доктор Хулио Баррос.
Профессор Чакрабарти подчеркнул значимость открытия: «Разрешив это противоречие, мы установили новую базовую линию для изучения этих сложных потоков». Это достижение открывает новые возможности для моделирования атмосферных явлений, работы двигателей и астрофизических процессов.

















0 комментариев