Квантовые расчеты на обычном ноутбуке стали ближе к реальности
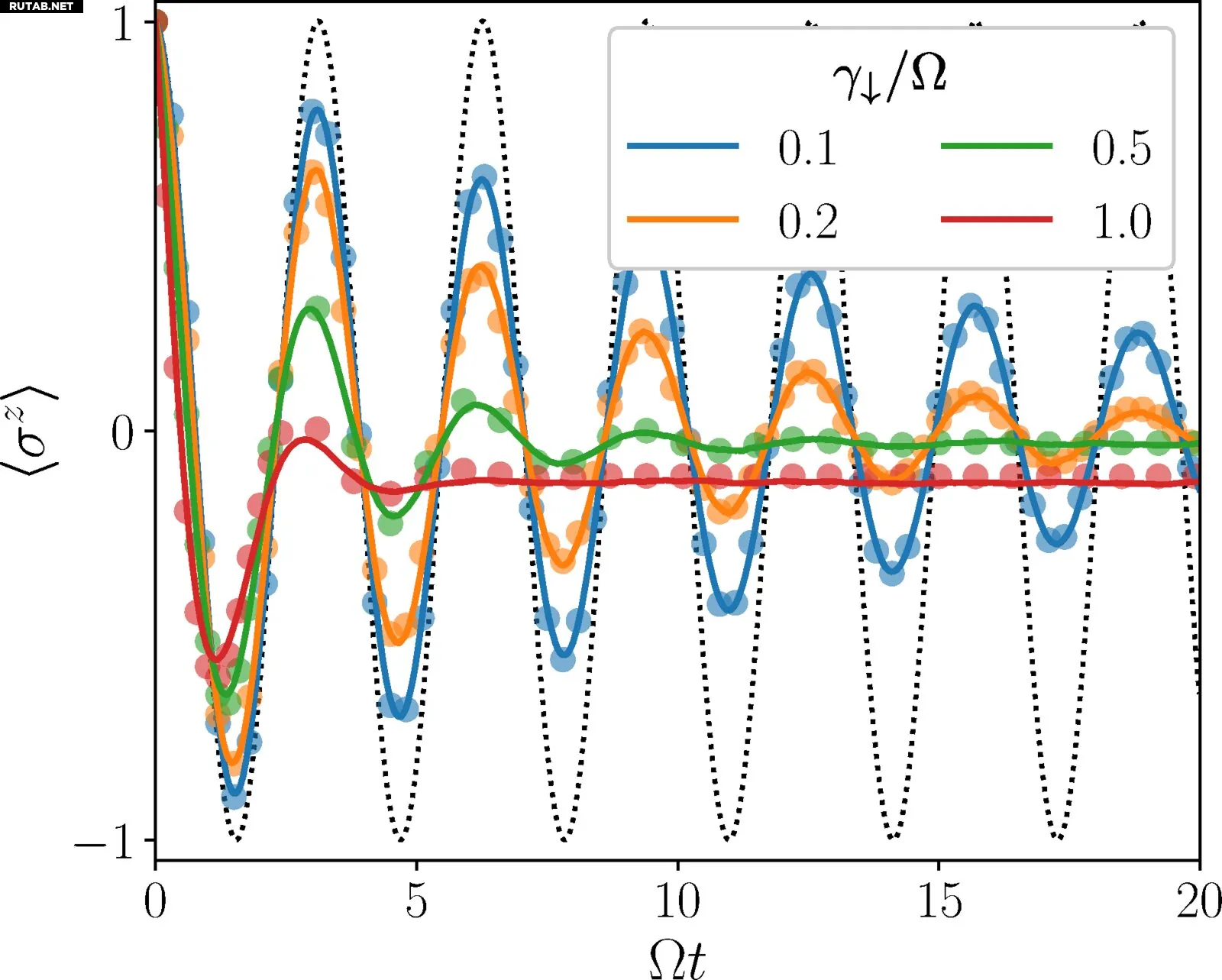
Эволюция отдельного спина при когерентном воздействии и спонтанном распаде. TWA (сплошные линии) демонстрирует сильное соответствие с точным решением (круги) при слабых и умеренных темпах потерь. Автор: PRX Quantum (2025). DOI: 10.1103/1wwv-k7hg
Физики из Университета Буффало значительно продвинулись в решении квантовых задач на обычных ноутбуках. Они расширили метод усеченного приближения Вигнера (TWA), сделав его применимым к сложным системам, которые ранее требовали мощности суперкомпьютеров.
Новый подход, описанный в исследовании, опубликованном в сентябре в PRX Quantum, предоставляет физикам практичный шаблон, позволяющий вводить свою задачу и получать полезные результаты в течение нескольких часов.
«Наш подход предлагает значительно более низкие вычислительные затраты и гораздо более простую формулировку динамических уравнений», — говорит ведущий автор исследования Джемир Марино.
Команда адаптировала TWA, который ранее работал только с изолированными системами, для реальных условий, где частицы постоянно взаимодействуют с внешними силами и теряют энергию. Исследователи превратили сложные математические выкладки в простую таблицу преобразований.
«Физики могут освоить этот метод за один день, а к третьему дню уже решают некоторые из самых сложных задач», — отмечает соавтор Оксана Челпанова.
Это позволит сохранить ресурсы суперкомпьютеров и ИИ для действительно сложных систем, которые невозможно решить полуклассическими методами.















0 комментариев