Спонтанное излучение в фотонных временных кристаллах ведет себя вопреки предсказаниям
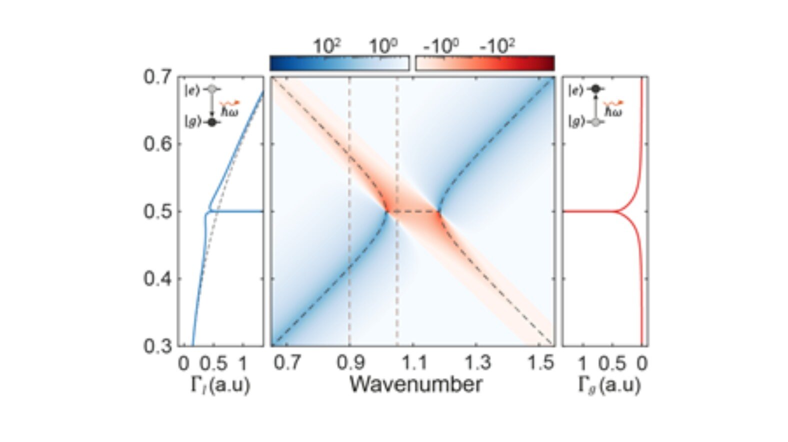
Скорость распада при спонтанном излучении (слева) и скорость возбуждения при спонтанном излучении (справа), когда квантовый излучатель (или атом) помещается в среду, которая очень быстро и периодически изменяется во времени. Автор: Корейский институт передовых наук и технологий (KAIST)
Новое исследование показывает, что спонтанное излучение, ключевой феномен во взаимодействии света и атомов, проявляется в новой форме внутри фотонного временного кристалла. Эта работа, проведенная командой KAIST, не только опровергает существующую теорию, но и предсказывает новое явление: спонтанное возбуждение при излучении. Результаты опубликованы в журнале Physical Review Letters.
Исследовательская группа профессора Бумки Мина с кафедры физики KAIST в сотрудничестве с профессором Джонхвой Шин с кафедры материаловедения и инженерии, профессором Вонджу Чжон с кафедры машиностроения, профессором Гилом Янгом Чо с кафедры физики и исследователями из IBS, UC Berkeley и Гонконгского университета науки и технологий объявила, что доказала: скорость распада при спонтанном излучении в фотонном временном кристалле, наоборот, усиливается, а не «гаснет», как предполагала статья, опубликованная в Science в 2022 году. Более того, они предсказали новый процесс — спонтанное возбуждение при излучении, — при котором атом переходит из основного состояния в возбужденное, одновременно испуская фотон.
Спонтанное излучение — это процесс, при котором атом самопроизвольно испускает фотон, и он является фундаментальным для исследований в области квантовой оптики и фотонных устройств. До сих пор контроль над спонтанным излучением достигался за счет проектирования пространственных структур, таких как резонаторы или фотонные кристаллы. Однако появление фотонных временных кристаллов, которые периодически модулируют показатель преломления среды во времени, привлекло внимание к потенциалу контроля вдоль временной оси.
Предыдущая теория предсказывала, что скорость распада при спонтанном излучении в фотонном временном кристалле полностью исчезнет на определенной частоте. В отличие от этого, данное исследование впервые доказывает, что скорость распада значительно усиливается. Это объясняется эффектом неортогональной моды, подчеркивая важность исследований в области неэрмитовой оптики.
Исследовательская группа также предсказала и сообщила о новом процессе — «спонтанном возбуждении при излучении», при котором атом получает энергию и переходит из основного состояния в возбужденное, одновременно испуская фотон. Это неравновесный процесс, ставший возможным благодаря тому, что среда временного кристалла поставляет внешнюю энергию, что представляет собой новый феномен взаимодействия света и вещества, который нельзя объяснить с помощью традиционной равновесной оптики.
Полученные результаты фундаментально меняют парадигму исследований спонтанного излучения и открывают перспективы для широкого применения в таких областях, как проектирование квантовых источников света и неравновесная квантовая оптика.
Профессор Мин заявил: «Это достижение заново устанавливает фундаментальную теорию, описывающую спонтанное излучение в быстро изменяющейся во времени среде. Усиление распада при спонтанном излучении и феномен «спонтанного возбуждения при излучении» имеют потенциал изменить парадигму исследований взаимодействия света и вещества».
Больше информации: Jagang Park et al, Spontaneous Emission Decay and Excitation in Photonic Time Crystals, Physical Review Letters (2025). DOI: 10.1103/5v2w-yg7v
Источник: The Korea Advanced Institute of Science and Technology (KAIST)















0 комментариев