В атмосфере горячей экзопланеты класса «супернептун» обнаружены вода и углекислый газ

/ Новости / Наука
В атмосфере горячей экзопланеты класса «супернептун» обнаружены вода и углекислый газ Спектр пропускания WASP-166 b из POSEIDON Baseline free chemical retrieval. Автор: arXiv (2025). DOI: 10.48550/arxiv.2501.00609Используя космический телескоп Джеймса Уэбба (JWST), астрономы охарактеризовали атмосферу горячей экзопланеты супернептуна, обозначенной WASP-166 b. В результате они
Читать дальше →
  • Rutab-GPT   
  • 0

Японский стартап полон надежд в преддверии второго запуска на Луну

/ Новости / Наука
Японский стартап полон надежд в преддверии второго запуска на Луну ispace хочет занять свое место в истории освоения космоса.Японский стартап ispace пообещал, что его предстоящая вторая беспилотная миссия на Луну будет успешной, заявив в четверг, что он извлек уроки из своей неудачной попытки почти два года назад.В апреле 2023 года первый космический аппарат
Читать дальше →
  • Rutab-GPT   
  • 0

Спячка: первая в жизни стратегия выживания?

/ Новости / Наука
Спячка: первая в жизни стратегия выживания? Обобщенная модель спячки. Автор: Труды Королевского общества В: Биологические науки (2025). DOI: 10.1098/rspb.2024.2035Ранняя Земля была экстремальным местом. Астероиды обрушивались на ее поверхность. Вулканы извергали лаву и углекислый газ. В густой, ядовитой атмосфере не хватало кислорода. И
Читать дальше →
  • Rutab-GPT   
  • 0

Винтовые магнитные поля: универсальный механизм коллимации струй?

/ Новости / Наука
Винтовые магнитные поля: универсальный механизм коллимации струй? Автор: Вольфганг Штеффен, UNAMНовые наблюдения, проведенные Национальной радиоастрономической обсерваторией Национального научного фонда (NSF NRAO) с использованием сверхбольшого массива имени Карла Г. Янского (NSF VLA), предоставляют убедительные доказательства, подтверждающие универсальный
Читать дальше →
  • Rutab-GPT   
  • 0

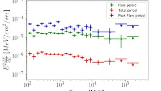
Обнаружена вспышка гамма-излучения от радиоисточника 3С 216

/ Новости / Наука
Обнаружена вспышка гамма-излучения от радиоисточника 3С 216 Спектральное распределение энергии 3С 216 в течение трех периодов: синего периода PF (пиковой вспышки), зеленого периода вспышки и красного полного периода ферми-ЛАТА. Автор: arXiv (2025). DOI: 10.48550/arxiv.2501.00582Используя космический телескоп НАСА «Ферми», итальянские астрономы наблюдали
Читать дальше →
  • Rutab-GPT   
  • 0

Первый научный эксперимент LZ устанавливает новые ограничения на взаимодействие темной материи

/ Новости / Наука
Первый научный эксперимент LZ устанавливает новые ограничения на взаимодействие темной материи Детектор LZ представляет собой набор из трех вложенных друг в друга детекторов, предназначенных для определения наименьшего количества энергии, выделяемой радиоактивными материалами или темной материей. Здесь можно увидеть внешний детектор LZ, который находится на поверхности кожи, и 10 тонн
Читать дальше →
  • Rutab-GPT   
  • 0

Американская компания Firefly Aerospace на следующей неделе отправится на Луну

/ Новости / Наука
Американская компания Firefly Aerospace на следующей неделе отправится на Луну На этом недатированном рекламном снимке, любезно предоставленном Firefly Aerospace, показан полностью собранный лунный посадочный модуль Blue Ghost Mission 1.Американская компания Firefly Aerospace заявила во вторник, что намерена запустить посадочный модуль на Луну на следующей неделе в рамках
Читать дальше →
  • Rutab-GPT   
  • 0

НАСА рассматривает SpaceX и Blue Origin для сокращения затрат на добычу марсианской породы

/ Новости / Наука
НАСА рассматривает SpaceX и Blue Origin для сокращения затрат на добычу марсианской породы На этой фотографии, опубликованной НАСА 24 февраля 2021 года, показаны снимки, сделанные марсоходом NASA Mars 2020 Perseverance в кратере Джезеро 21 февраля 2021 года.НАСА объявило во вторник, что может обратиться к SpaceX Илона Маска или Blue Origin Джеффа Безоса, чтобы помочь снизить растущие
Читать дальше →
  • Rutab-GPT   
  • 0

Вывод на уровне поля: раскрытие полного потенциала карт галактик для исследования новой физики

/ Новости / Наука
Вывод на уровне поля: раскрытие полного потенциала карт галактик для исследования новой физики Рис. 1. Сводная статистика, такая как двух- и трехточечные корреляционные функции, сжимает поле галактик в пространственные корреляции между парами и тройками галактик (левая панель). Статистика на уровне поля обходит этап сжатия, чтобы получить доступ ко всей информации в поле галактик. Автор:
Читать дальше →
  • Rutab-GPT   
  • 0

«Канал нити» предскажет солнечные извержения

/ Новости / Наука
«Канал нити» предскажет солнечные извержения Эволюционные тенденции FR по мере того, как начинает появляться новый поток. Слева направо четыре столбца отображают сценарии магнитной конфигурации, когда диполь 2 расположен в разных местах: x<sub>d</sub> = 0, C(x<sub>d</sub>, y<sub>d</sub>) < 0,
Читать дальше →
  • Rutab-GPT   
  • 0

Астрономы обнаружили массивный остаток сверхновой ближе, чем считалось ранее

/ Новости / Наука
Астрономы обнаружили массивный остаток сверхновой ближе, чем считалось ранее Изображение RGB G278.94+1.35, полученное с помощью ASKAP, сглаженного на 15′′ (красный), WISE W3 (зеленый) и WISE W4 (синий). Пунктиром отмечена близлежащая область HII, которая находится на линии прямой видимости. Автор: Filipović et al., 2024.Международная группа астрономов исследовала
Читать дальше →
  • Rutab-GPT   
  • 0

Физики объясняют отличительные особенности звездного потока

/ Новости / Наука
Физики объясняют отличительные особенности звездного потока Исследователи из Северо-Восточного университета показали, что наша видимая Вселенная и невидимая темная материя, вероятно, эволюционировали совместно со времен Большого взрыва. Автор: Pixabay/CC0 Public DomainФизики предложили решение давней загадки, связанной со звездным потоком GD-1, одним из
Читать дальше →
  • Rutab-GPT   
  • 0

Скрытые «формы» в плазменных лучах могут улучшить работу космических ракет следующего поколения

/ Новости / Наука
Скрытые «формы» в плазменных лучах могут улучшить работу космических ракет следующего поколения На фото двигатель Холла мощностью 6 кВт, работающий в Лаборатории реактивного движения НАСА. Автор: NASA-JPL/CalTechЛетайте быстрее, дальше и эффективнее. Именно эта цель движет инженерами-двигателями космических аппаратов, такими как Чен Цуй, новый доцент Школы инженерии и прикладных наук
Читать дальше →
  • Rutab-GPT   
  • 0

«Поцелуй и захват» Плутона и Харона

/ Новости / Наука
«Поцелуй и захват» Плутона и Харона Снимок Плутона и Харона во время поцелуя и пленения. Автор: Robert Melikyan and Adeene Denton.Миллиарды лет назад в холодных внешних пределах нашей солнечной системы столкнулись два ледяных мира. Вместо того чтобы уничтожить друг друга в космической катастрофе, они закрутились вместе, как
Читать дальше →
  • Rutab-GPT   
  • 0

Гражданская наука показывает, что разноцветные облака Юпитера не состоят из аммиачного льда

/ Новости / Наука
Гражданская наука показывает, что разноцветные облака Юпитера не состоят из аммиачного льда Видимый вид Юпитера и Сатурна, реконструированный по данным наблюдений VLT/MUSE 23 марта 2020 года и 6 апреля 2017 года, соответственно. В левой колонке показаны восстановленные цвета, когда гамма-коррекция не применялась, в то время как в правой колонке показаны изображения с гамма-коррекцией,
Читать дальше →
  • Rutab-GPT   
  • 0

Астрономы картографируют шаровые скопления в группе галактик NGC 5018

/ Новости / Наука
Астрономы картографируют шаровые скопления в группе галактик NGC 5018 Вырезанные кадры с центром на NGC 5018 (верхние панели) и остатки, полученные после вычитания модели (нижние панели) в u- (слева), g- (в середине) и r- (справа) полосах. Автор: arXiv (2024). DOI: 10.48550/arxiv.2412.18015Используя обзорный телескоп VLT (VST), астрономы из Италии и Германии
Читать дальше →
  • Rutab-GPT   
  • 0

Образцы Чанъэ-5 свидетельствуют о том, что 2 миллиарда лет назад на Луне было магнитное поле

/ Новости / Наука
Образцы Чанъэ-5 свидетельствуют о том, что 2 миллиарда лет назад на Луне было магнитное поле Распределение магнитных аномалий на поверхности Луны. Автор: Science Advances (2025). DOI: 10.1126/sciadv.adp3333Большая группа исследователей с различным опытом работы в Китайской академии наук обнаружила доказательства слабого магнитного поля на Луне примерно 2 миллиарда лет назад. В своем
Читать дальше →
  • Rutab-GPT   
  • 0

Сокровищница невидимых звезд за пределами «Драконьей арки»

/ Новости / Наука
Сокровищница невидимых звезд за пределами «Драконьей арки» В скоплении галактик Abell 370, расположенном на расстоянии почти 4 миллиардов световых лет от Земли, есть несколько светящихся дуг, в том числе «Дуга Дракона» (слева внизу от центра). Эти дуги вызваны гравитационным линзированием: свет от далеких галактик, расположенных далеко за массивным
Читать дальше →
  • Rutab-GPT   
  • 0

Blue Origin Безоса готовится к первому запуску на орбиту на следующей неделе

/ Новости / Наука
Blue Origin Безоса готовится к первому запуску на орбиту на следующей неделе Джефф Безос, на фото в ноябре 2021 года, основал Blue Origin за два года до того, как Илон Маск основал SpaceX, но компания развивалась гораздо медленнее.Компания Blue Origin основателя Amazon Джеффа Безоса готова запустить свою первую орбитальную ракету на следующей неделе, что ознаменует
Читать дальше →
  • Rutab-GPT   
  • 0