ИИ с «химической интуицией» ускоряет открытие новых реакций
Химические реакции, лежащие в основе создания новых материалов и технологий, традиционно открываются методом проб и ошибок, что требует много времени. Учёные из японского исследовательского института WPI-ICReDD представили систему искусственного интеллекта ChemOntology, которая способна исследовать и анализировать химические реакции с «человеческой» интуицией, значительно ускоряя процесс.
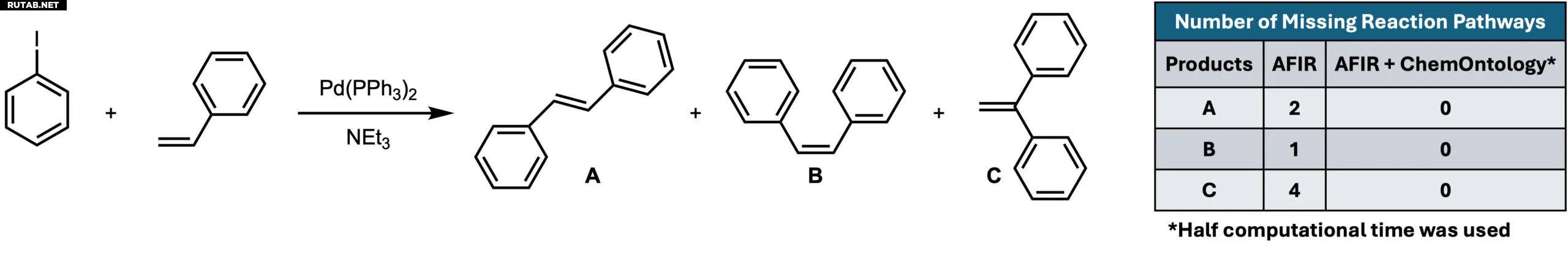
AFIR идентифицирует различные пути реакций, включая нерелевантные молекулярные структуры. Однако в паре с ChemOntology он может быстрее находить все значимые пути, игнорируя нерелевантные структуры. Автор: ACS Catalysis (2025). DOI: 10.1021/acscatal.5c06298
Новая система представляет собой формализованную в машинно-интерпретируемом виде базу химических знаний. Она динамически интегрируется с ранее разработанным вычислительным методом AFIR (Artificial Force Induced Reaction).
«AFIR определяет пути реакций, систематически генерируя новые молекулярные структуры и оценивая их энергию. Однако этот процесс рассматривает гораздо больше возможностей, чем реалистично с точки зрения химика, что требует значительных вычислительных затрат», — пояснила доктор Юрико Оно.
В связке с ChemOntology алгоритм AFIR получает «интуицию»: он начинает распознавать, какие химические связи с большей вероятностью вступят в реакцию, и отличать химически разумные структуры от нереалистичных. Важно, что эта технология не полагается на обучающие наборы данных, что является преимуществом перед машинным обучением.
В качестве доказательства концепции исследователи проанализировали классическую реакцию Хека с помощью AFIR и ChemOntology. Автор: ACS Catalysis (2025). DOI: 10.1021/acscatal.5c06298
Для проверки эффективности команда под руководством профессора Масахару Ёсиока и доцента Пинку Натха проанализировала сложную классическую реакцию Хека.
«AFIR в одиночку идентифицировал только часть путей для реакции Хека. Удивительно, но AFIR в сочетании с ChemOntology успешно обнаружил все пути за половину вычислительного времени», — заявил доцент Пинку Натх.
Исследователи отмечают, что ChemOntology представляет собой новый класс инструментов для химических открытий — явно управляемый знаниями и не требующий обучения ИИ-фреймворк. Он напрямую встраивает человеческое химическое мышление в процесс поиска реакций, что не только снижает вычислительные затраты, но и делает анализ более осмысленным.
Работа опубликована в журнале ACS Catalysis в 2025 году.
















0 комментариев