Ученые впервые в 4D наблюдали замерзание соленой воды
Исследователи с помощью микро-КТ впервые провели четырехмерное (3D + время) наблюдение и моделирование роста кристаллов льда и вытеснения соли в замерзающей соленой воде. Работа опубликована в Journal of Fluid Mechanics.
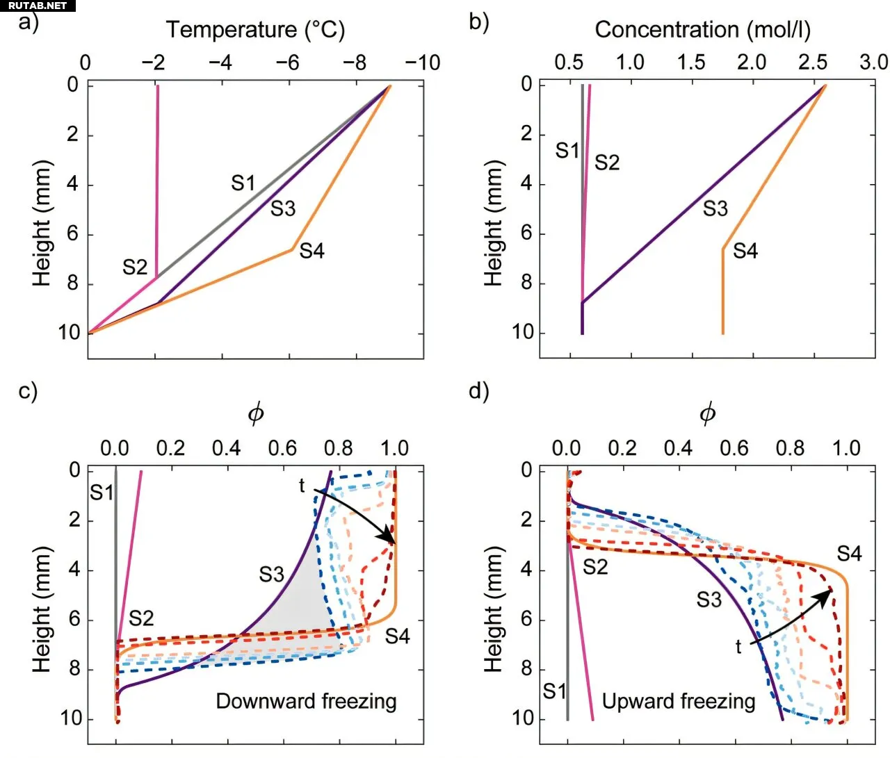
Процесс оказался гораздо динамичнее, чем ожидалось. Сразу после зарождения кристаллы льда (темные области) быстро формировались, захватывая рассол (яркие области) в пористую сеть. По мере замерзания эта сеть реорганизовывалась в полосатые узоры, которые двигались вниз или вверх в зависимости от условий.
При замерзании сверху вниз плотный рассол собирался в центральные столбы, которые постепенно опускались, накапливая соль. При замерзании снизу вверх рассол мигрировал к периферии, образуя «юбкообразные» структуры. Несмотря на разные пути, конечное состояние структуры льда и рассола в обоих случаях становилось схожим примерно через 24 часа.
Ученые выделили три стадии вытеснения соли. Первая, длящаяся секунды, — быстрое зарождение кристаллов. На второй стадии, при стабилизации температурного поля, рассол вытесняется из-за расширения при затвердевании и конвекции. На третьей, доминирующей становится диффузия: карманы рассола медленно мигрируют к теплому концу, а у холодной границы формируется более чистый лед.
Были отслежены различные морфологии соли: полосы, столбы, карманы. Их общая скорость миграции убывала в порядке: наклонные полосы (A) > вертикальные полосы (B) > изолированные карманы (C) > граница чистого льда (D). Данные для B и C соответствовали теоретическим расчетам, где доминирует диффузия, в то время как полосы A двигались значительно быстрее сразу после зарождения.
Понимание этой динамики помогает объяснить, как природный морской лед становится относительно пресным, и может оптимизировать процессы опреснения, обработки материалов и криогенные технологии.

















0 комментариев