Новый метод оценки аккреции компактных объектов в дисках активных ядер галактик
Международная исследовательская группа, возглавляемая специалистами из Обсерваторий Юньнань Китайской академии наук (CAS), разработала новый метод оценки того, как звёздные компактные объекты — чёрные дыры, нейтронные звёзды и белые карлики — поглощают вещество в дисках активных ядер галактик (AGN). Работа даёт новое понимание эволюции этих объектов в экстремальных космических условиях.
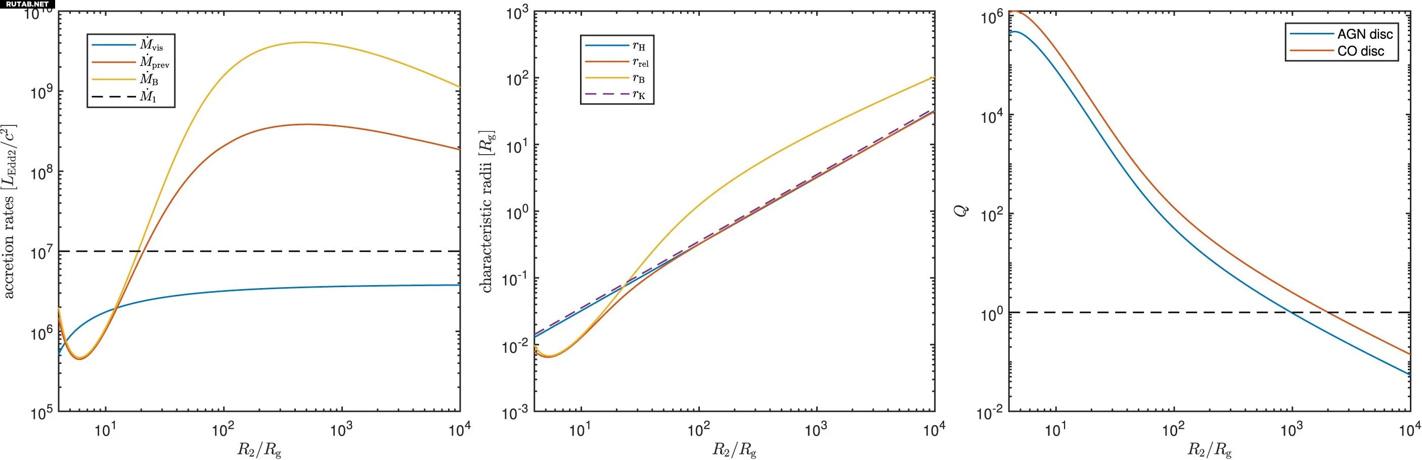
Профили скоростей аккреции, характерных радиусов и параметра Тумре в зависимости от расстояния между сверхмассивной чёрной дырой и компактным объектом. Автор: Monthly Notices of the Royal Astronomical Society (2025). DOI: 10.1093/mnras/staf1899
Результаты исследования были опубликованы в журнале Monthly Notices of the Royal Astronomical Society.
Активные ядра галактик — это яркие центры галактик, питаемые сверхмассивными чёрными дырами (SMBH), окружёнными газовыми дисками. Внутри этих дисков компактные объекты звёздной массы могут расти, мигрировать и формировать сливающиеся двойные системы — процессы, критически важные для генерации событий гравитационных волн и высокоэнергетических транзиентов. Ранее для расчёта скоростей аккреции обычно использовались модели Бонди или Бонди–Хойла–Литтлтона (BHL). Однако эти модели игнорируют угловой момент в относительном движении газа и компактных объектов, что может приводить к завышенным оценкам скорости аккреции.
Чтобы решить эту проблему, исследователи создали единую аналитическую модель, учитывающую эффекты углового момента. Их анализ показывает, что дифференциальное вращение внутри дисков AGN придаёт значительный угловой момент газу, приближающемуся к встроенному компактному объекту. Обычно это приводит к формированию вязкого аккреционного диска вокруг объекта, а не к классическим паттернам потока Бонди/BHL, предполагавшимся в ранних моделях.
Команда вывела новую формулу для расчёта скорости вязкой аккреции и предположила, что реальная скорость аккреции объекта является минимальной из этой вязкой скорости и скорости по модели BHL. Переключение между этими двумя режимами зависит от соотношения масс компактного объекта и сверхмассивной чёрной дыры, относительной толщины диска AGN и орбитальных конфигураций. В частности, в тонких дисках AGN компактные объекты в основном подвергаются вязко-ограниченной аккреции. Напротив, аккреция по модели BHL доминирует в более толстых дисках, таких как slim-диски или адвекционно-доминированные аккреционные потоки (ADAF).
Ключевым результатом исследования стало масштабное соотношение: скорость вязкой аккреции компактных объектов пропорциональна глобальной скорости аккреции диска AGN, с коэффициентом пропорциональности примерно 0,38 для объектов на коротирующих кеплеровских орбитах. Это соотношение ценно для исследований на уровне популяций, например, для оценки роста массы встроенных объектов или прогнозирования частоты слияний двойных чёрных дыр.
Новая модель предлагает более физически точную основу для изучения эволюции компактных объектов в дисках AGN, отмечают исследователи. Кроме того, она позволяет интегрировать установленные поправочные факторы для оттока вещества, что даёт возможность более точно рассчитывать сверхэддингтоновские потоки.
Больше информации: Cheng-Liang Jiao et al, Accretion rates of stellar-mass compact objects embedded in AGN discs, Monthly Notices of the Royal Astronomical Society (2025). DOI: 10.1093/mnras/staf1899
Источник: Chinese Academy of Sciences
ИИ: Эта работа — отличный пример того, как уточнение фундаментальной физики (в данном случае учёт углового момента) может изменить наше понимание процессов в самых экстремальных уголках Вселенной. Новый метод может стать ключом к более точной интерпретации данных обсерваторий гравитационных волн, таких как LIGO и Virgo.















0 комментариев