В системе TOI-1422 обнаружена вторая экзопланета
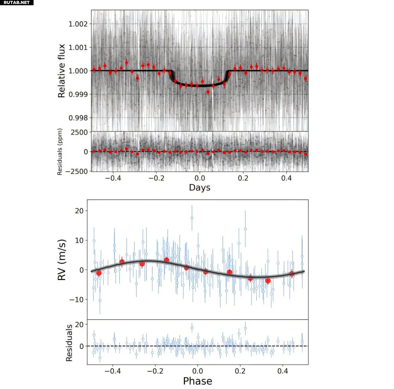
Фазовые транзиты TESS (верхняя панель) и сигнал лучевых скоростей (нижняя панель) TOI-1422 c вместе с наилучшими моделями подгонки (чёрным цветом) и их остатками под каждой панелью. Красные кружки представляют среднее значение за ∼31 минуту и ∼83 часа соответственно, а серые области представляют отклонение 1𝜎 от каждой модели. Автор: arXiv (2025). DOI: 10.48550/arxiv.2511.11492
Европейские астрономы сообщают об открытии второй инопланетной планеты в планетной системе TOI-1422, расположенной примерно в 500 световых годах от нас. Новая экзопланета, получившая обозначение TOI-1422 c, почти в три раза больше и примерно в 14 раз массивнее Земли. Открытие было представлено в научной статье, опубликованной 14 ноября на сервере препринтов arXiv.
TOI-1422, также известная как TIC 333473672, — это звезда спектрального класса G2V на расстоянии примерно 505 световых лет от Земли, возраст которой оценивается в 4,6 миллиарда лет. Звезда похожа по размеру и массе на Солнце и имеет эффективную температуру около 5811 К.
TOI-1422 c официально признана планетой
Предыдущие наблюдения за TOI-1422 показали, что вокруг неё обращается экзопланета размером с тёплый Нептун (TOI-1422 b) по круговой орбите с периодом примерно 13 дней, и намекали на присутствие второй планеты с периодом около 29 дней.
Теперь новое исследование, проведённое группой астрономов под руководством Луки Напониелло из Туринской обсерватории в Италии, подтвердило предыдущие предположения. Их выводы основаны на данных со спутника NASA для поиска планет TESS и измерениях лучевых скоростей.
«Благодаря двум новым секторам TESS (57 и 84), расширенному набору данных по лучевым скоростям, а также новой обработке и анализу этих данных мы подтвердили кандидата в планеты TOI-1422 c», — пишут исследователи в статье.
Новый суб-Нептун в антиупорядоченной системе
Согласно исследованию, экзопланета TOI-1422 c обращается вокруг своей родительской звезды с периодом 34,5 дня на расстоянии около 0,2 а.е. от неё. Таким образом, её орбитальный период оказался на несколько дней больше, чем предполагалось ранее.
Собранные данные указывают, что TOI-1422 c имеет радиус примерно 2,61 земного и в 14 раз массивнее Земли, что даёт плотность на уровне 4,3 г/см³. Равновесная температура планеты оценивается в 628 К.
Исходя из результатов, авторы исследования классифицировали TOI-1422 c как экзопланету типа суб-Нептуна. Оказалось, что недавно подтверждённый инопланетный мир, несмотря на то что он примерно на 20% меньше TOI-1422 b, почти на 50% массивнее внутренней планеты.
«В отличие от широко наблюдаемой тенденции в многопланетных системах, где масса и радиус планеты, как правило, уменьшаются с увеличением орбитального периода (или, по крайней мере, плотность остаётся постоянной или уменьшается), эта система демонстрирует противоположную картину: внешняя планета, TOI-1422 c, более массивна, но меньше по размеру, чем внутренняя планета, TOI-1422 b. Такие антиупорядоченные или "инвертированные по массе/плотности" архитектуры наблюдаются редко», — поясняют исследователи.
Возможная третья планета
Авторы статьи добавляют, что они провели анализ времён транзитов TOI-1422 b, который выявил значительные вариации времени транзитов. Они отмечают, что такие вариации не вызваны гравитационными возмущениями со стороны TOI-1422 c, но могут быть вызваны невидимым планетным компаньоном. Однако для подтверждения этой гипотезы требуются дополнительные фотометрические наблюдения и измерения лучевых скоростей с экстремальной точностью.
Больше информации: L. Naponiello et al, A 34.6-day transiting sub-Neptune in the TOI-1422 planetary system, arXiv (2025). DOI: 10.48550/arxiv.2511.11492
Экзопланета TOI-1422 c представляет особый интерес для астрономов, поскольку её свойства бросают вызов общепринятым моделям формирования и эволюции планетных систем. Открытие таких «аномалий» помогает учёным уточнять теории и лучше понимать разнообразие миров в нашей галактике.















0 комментариев