Слияния черных дыр порождают наблюдаемые гравитационные «хвосты»
Согласно новому исследованию, после слияния черных дыр и затухания гравитационных волн в пространстве-времени остаются слабые следы, известные как поздние гравитационные «хвосты». Ранее их существование было лишь теоретическим предположением.
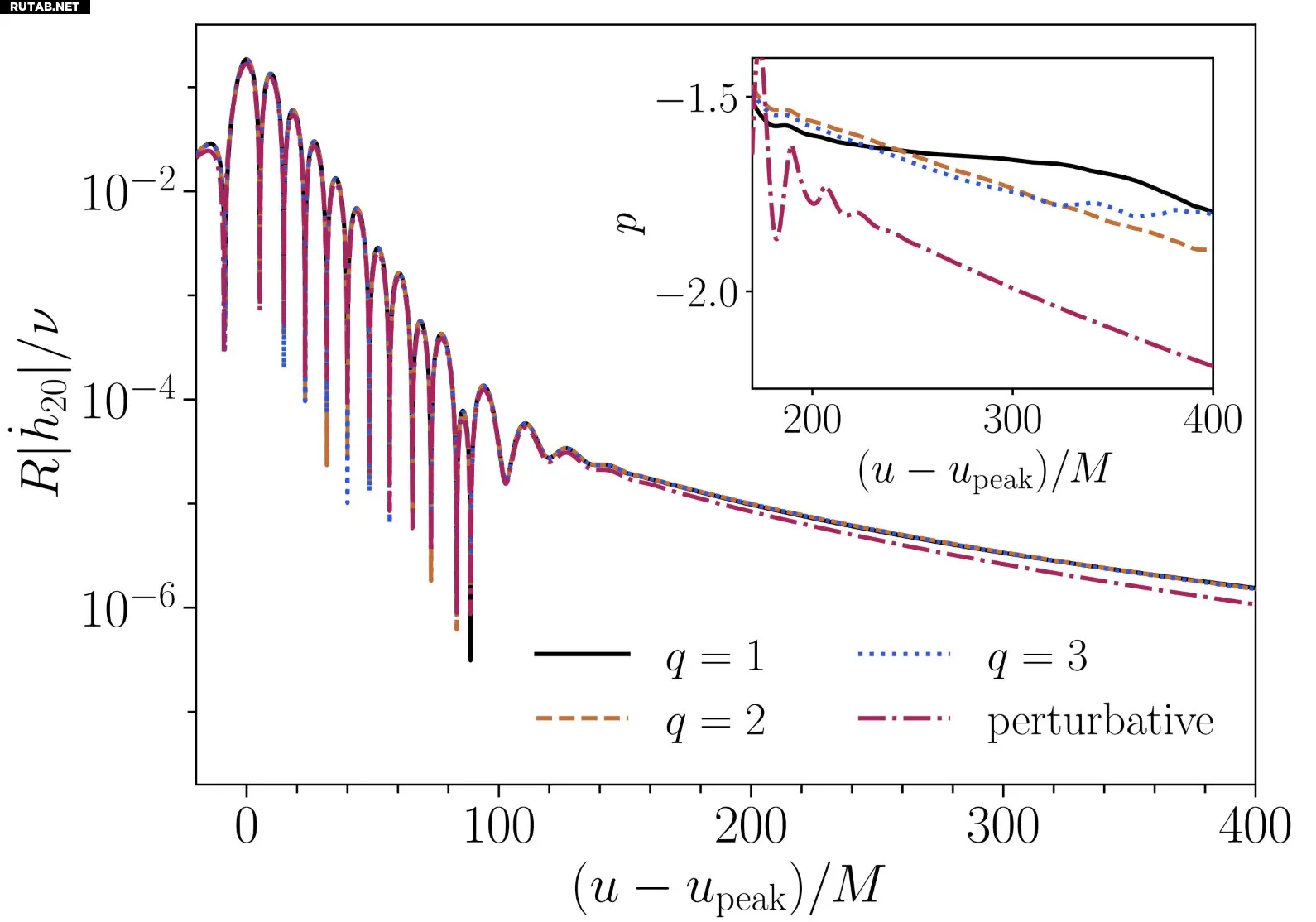
Международная группа исследователей провела численное моделирование слияний черных дыр на основе уравнений общей теории относительности Эйнштейна. Результаты, опубликованные в Physical Review Letters, показывают, что эти «хвосты» не только существуют, но и имеют большую амплитуду, чем предполагалось, что делает их потенциально наблюдаемыми.
«Когда деформированная черная дыра — продукт слияния — возвращается к равновесию, она сначала излучает суперпозицию четко определенных дискретных вибрационных частот. Эта фаза называется "затухающими колебаниями". Наша работа показывает, что затухающие колебания — это еще не конец истории», — объяснила ведущий автор исследования Марина Де Амичис.
Ученые обнаружили, что после фазы затухающих колебаний пространство-время остается слегка искаженным и медленно возвращается в исходное состояние, производя финальный «вздох» — тот самый «хвост».
Основной проблемой при моделировании было то, что «хвосты» очень слабы и проявляются, когда симуляции уже зашумлены. Исследователи сосредоточились на лобовых столкновениях черных дыр, которые естественным образом усиливают этот сигнал.
Оказалось, что некоторые слияния могут усиливать гравитационные «хвосты», и они несут отпечаток нелинейной природы гравитации — ее способности взаимодействовать с самой собой.
Это открытие означает, что нелинейные эффекты гравитации можно исследовать не только в момент слияния черных дыр, но и значительно дольше после него. В будущем эти сигналы могут быть обнаружены гравитационно-волновыми обсерваториями.
















0 комментариев