Переход на растительное питание сократит сельскохозяйственные рабочие места
Исследование Оксфордского университета показало, что глобальный переход на растительные диеты может значительно сократить количество рабочих мест в сельском хозяйстве. Учёные проанализировали, как повлияет на занятость переход на флекситарианское, пескетарианское, вегетарианское и веганское питание в 179 странах.
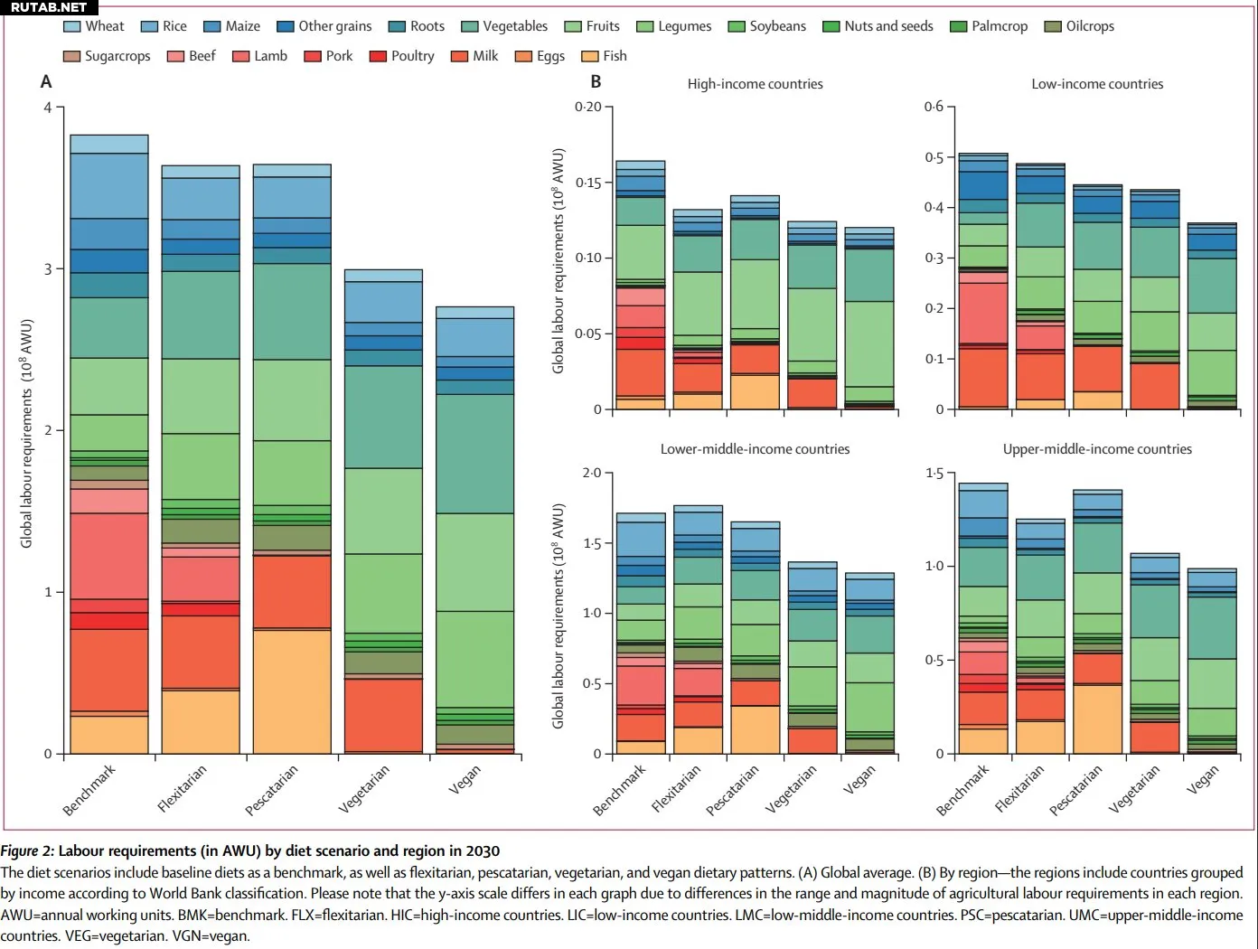
Согласно исследованию, опубликованному в The Lancet Planetary Health, более широкое распространение растительных диет может сократить глобальные потребности в сельскохозяйственной рабочей силе на 5–28% к 2030 году. Это эквивалентно потере 18–106 миллионов рабочих мест с полной занятостью, в основном из-за снижения спроса на животноводческую продукцию.
При этом в секторе растениеводства (выращивание фруктов, овощей и бобовых) может потребоваться дополнительно 18–56 миллионов работников. Общие изменения могут снизить глобальные трудовые затраты на 290–995 миллиардов долларов США в год (с учётом паритета покупательной способности), что составляет примерно 0,2–0,6% мирового ВВП.
Ведущий автор исследования доктор Марко Шпрингманн отметил: «Изменение питания влияет не только на наше здоровье и планету — оно также значительно воздействует на средства к существованию людей. Отказ от мясных диет сокращает потребность в рабочей силе в животноводстве, но увеличивает спрос в растениеводстве».
Исследователи подчеркивают необходимость политической поддержки и планирования для обеспечения справедливого перехода, включая переобучение работников и инвестиции в развитие растениеводства.
Дополнительная информация: Labour requirements for healthy and sustainable diets at global, regional, and national levels: a modelling study, The Lancet Planetary Health (2025). DOI: 10.1016/j.lanplh.2025.101342

















0 комментариев