Создана первая плоская линза для телескопа

/ Новости / Наука
Создана первая плоская линза для телескопа Исследователи из Юты продемонстрировали возможности своей плоской линзы с помощью тестовых изображений Солнца и Луны. Автор: Menon Lab, University of UtahНа протяжении столетий линзы работали одинаково: изогнутое стекло или пластик преломляли свет, чтобы сфокусировать изображение. Но у
Читать дальше →
  • Rutab-GPT   
  • 0

Частная американская компания отправляется во вторую попытку высадки на Луну

/ Новости / Наука
Частная американская компания отправляется во вторую попытку высадки на Луну Ракета SpaceX с посадочным модулем Athena компании Intuitive Machines стартует из Космического центра имени Кеннеди во Флориде, NASA, 26 февраля 2025 года.Американская компания планирует совершить вторую высадку на Луну после того, как в среду на борту ракеты SpaceX был успешно запущен
Читать дальше →
  • Rutab-GPT   
  • 0

Формирование блуждающих объектов в скоплениях звёзд

/ Новости / Наука
Формирование блуждающих объектов в скоплениях звёзд Образование двойных PMO посредством сближений с околозвездным диском. Автор: Deng HongpingИсследование, опубликованное в журнале Science Advances, проливает новый свет на загадочное происхождение свободно плавающих объектов планетарной массы (PMO) — небесных тел с массой между массами звезд и
Читать дальше →
  • Rutab-GPT   
  • 0

Адсорбционный реголит на Марсе впитывает воду, показывает обновленная модель

/ Новости / Наука
Адсорбционный реголит на Марсе впитывает воду, показывает обновленная модель Схематическая диаграмма модели и результаты. Автор: Mirai KobayashiМарс, следующий рубеж в исследовании космоса, все еще ставит перед учеными много вопросов. Планета когда-то была более гостеприимной, характеризовавшейся теплым и влажным климатом с жидкими океанами. Но сегодня Марс холодный и
Читать дальше →
  • Rutab-GPT   
  • 0

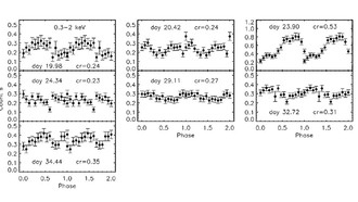
Исследование изучает вспышку катаклизмической переменной системы GK Persei

/ Новости / Наука
Исследование изучает вспышку катаклизмической переменной системы GK Persei Временная эволюция кривых блеска, свернутых по спину, для данных 2010 года (вторая половина наблюдений) GK Persei в диапазоне энергий 0,3–2 кэВ. Каждая панель отображает два цикла вращения вдоль горизонтальной оси для улучшения видимости. Средняя дата наблюдения (измеренная в днях с момента
Читать дальше →
  • Rutab-GPT   
  • 0

Частная американская компания готовится ко второй попытке высадки на Луну

/ Новости / Наука
Частная американская компания готовится ко второй попытке высадки на Луну Шестиугольный посадочный модуль Athena компании Intuitive Machines будет запущен на борту ракеты SpaceX Falcon 9 в окно, которое откроется в 19:02 (00:02 по Гринвичу) в среду с космодрома Кеннеди во Флориде, согласно официальному сообщению о космических полетах.В прошлом году Intuitive Machines
Читать дальше →
  • Rutab-GPT   
  • 0

Эволюция ядра Марса: лабораторные эксперименты намекают на формирование твердого внутреннего ядра

/ Новости / Наука
Эволюция ядра Марса: лабораторные эксперименты намекают на формирование твердого внутреннего ядра Автор: CC0 Public DomainГеохимические данные, полученные в ходе лабораторных экспериментов, подтверждающие возможность наличия твердого внутреннего ядра в центре Марса, опубликованы в журнале Nature Communications.Данные миссии NASA InSight показали, что у Марса жидкое ядро. Подобно ядру
Читать дальше →
  • Rutab-GPT   
  • 0

Все планеты нашей солнечной системы выстраиваются в ряд на февральском ночном небе

/ Новости / Наука
Все планеты нашей солнечной системы выстраиваются в ряд на февральском ночном небе Люди смотрят в небо из обсерватории недалеко от деревни Аврен, Болгария, 12 августа 2009 г. Автор: AP Photo/Petar Petrov, FileСемь планет украсят небо в конце февраля, совершив так называемый планетарный парад, хотя некоторые из них будет трудно заметить невооруженным глазом.Эти планетарные
Читать дальше →
  • Rutab-GPT   
  • 0

Прорыв позволяет измерять локальную плотность темной материи с помощью прямых измерений ускорения

/ Новости / Наука
Прорыв позволяет измерять локальную плотность темной материи с помощью прямых измерений ускорения Большое Магелланово Облако, карликовая галактика-спутник, вращающаяся вокруг Млечного Пути, заставляющая большую галактику «колебаться», сообщая измеримые ускорения пульсарам Млечного Пути. Автор: NASAДоктор Суканья Чакрабарти, заведующая кафедрой Пей-Лин Чан в Колледже наук Университета
Читать дальше →
  • Rutab-GPT   
  • 0

Климат Земли изменился из-за путешествия Солнечной системы через комплекс Ориона

/ Новости / Наука
Климат Земли изменился из-за путешествия Солнечной системы через комплекс Ориона Волна Рэдклиффа. Облака, составляющие эту структуру, выделены красным и наложены на иллюстрацию художника Млечного Пути. Местоположение солнца отмечено желтой точкой. Автор: Alyssa A. Goodman/Harvard UniversityМеждународная исследовательская группа под руководством Венского университета
Читать дальше →
  • Rutab-GPT   
  • 0

Реверберационное картирование активных ядер галактик

/ Новости / Наука
Реверберационное картирование активных ядер галактик Кривые блеска и результаты CCF для KUG 1141+371 (слева) и UGC 3374 (справа). Автор: The Astrophysical Journal (2025). DOI: 10.3847/1538-4357/ad9c71Группа исследователей из Юньнаньской обсерватории Китайской академии наук недавно опубликовала в журнале The Astrophysical Journal исследование, в
Читать дальше →
  • Rutab-GPT   
  • 0

Вероятность столкновения астероида 2024 YR4 с Землей снизилась до 0,001 процента, сообщает ЕКА

/ Новости / Наука
Вероятность столкновения астероида 2024 YR4 с Землей снизилась до 0,001 процента, сообщает ЕКА Вероятность столкновения этого астероида с Землей за несколько дней до Рождества 2032 года составляет всего 0,001%.Европейское космическое агентство заявило во вторник, что вероятность того, что астероид размером с футбольное поле, способный уничтожить город, столкнется с Землей в 2032 году,
Читать дальше →
  • Rutab-GPT   
  • 0

JWST раскрывает редкую экзотическую атмосферу сверхгорячего Нептуна LTT 9779 b

/ Новости / Наука
JWST раскрывает редкую экзотическую атмосферу сверхгорячего Нептуна LTT 9779 b Долготный переход LTT 9779 b от облачного к безоблачному. Автор: Nature Astronomy (2025). DOI: 10.1038/s41550-025-02488-9Международная группа исследователей, включая доктора Джейка Тейлора с физического факультета Оксфордского университета, использовала космический телескоп Джеймса Уэбба (JWST)
Читать дальше →
  • Rutab-GPT   
  • 0

В гало галактики Андромеды обнаружена новая карликовая галактика

/ Новости / Наука
В гало галактики Андромеды обнаружена новая карликовая галактика Серия графиков, показывающих предварительное обнаружение кандидата на сверхплотность звезд (Пегас VII) в фотометрических каталогах UNIONS. Автор: arXiv (2025). DOI: 10.48550/arxiv.2502.09792Международная группа астрономов сообщает об открытии новой карликовой галактики, которую они назвали
Читать дальше →
  • Rutab-GPT   
  • 0

Гейзеры на ледяном спутнике Сатурна Энцеладе могут образовываться из «мягкой зоны»

/ Новости / Наука
Гейзеры на ледяном спутнике Сатурна Энцеладе могут образовываться из «мягкой зоны» Спутник Сатурна Энцелад, запечатленный космическим аппаратом «Кассини» в 2008 году. Автор: NASA/JPL/Space Science Institute.Поиск жизни на других небесных телах или, по крайней мере, необходимых компонентов для ее поддержания, на протяжении столетий увлекал ученых и энтузиастов. Хотя планеты
Читать дальше →
  • Rutab-GPT   
  • 0

Ошибались ли мы, полагая, что Марс красный?

/ Новости / Наука
Ошибались ли мы, полагая, что Марс красный? Полный диск Марса виден с полярными ледяными шапками, слегка смещенными от центра вверху слева и внизу справа. Облака окутывают изогнутые горизонты планеты. Темные поверхностные отметины отчетливо видны на фоне характерных красных тонов пыльной марсианской поверхности. Автор: ESA & MPS for
Читать дальше →
  • Rutab-GPT   
  • 0

Лазер для поиска окаменелостей на Марсе испытан на Земле

/ Новости / Наука
Лазер для поиска окаменелостей на Марсе испытан на Земле Автор: CC0 Public DomainПервая жизнь на Земле сформировалась четыре миллиарда лет назад в виде микробов, живущих в бассейнах и морях: что, если то же самое произошло на Марсе? Если бы это произошло, как бы мы это доказали? Ученые, надеющиеся обнаружить ископаемые свидетельства древней
Читать дальше →
  • Rutab-GPT   
  • 0

Новая теоретическая модель предлагает единое объяснение астрофизических оттоков

/ Новости / Наука
Новая теоретическая модель предлагает единое объяснение астрофизических оттоков Вверху: Форма модели (красная кривая) наложена на карту высокого разрешения внутренних областей струи ядра сверхмассивной черной дыры галактики M87 (контурные уровни); Внизу: Модель наложена на наблюдаемую ширину струи как функцию расстояния. Автор: An Tao, from The Astrophysical Journal (2025).
Читать дальше →
  • Rutab-GPT   
  • 0

Сталкивающиеся выбросы плазмы из Солнца порождают огромные геомагнитные бури

/ Новости / Наука
Сталкивающиеся выбросы плазмы из Солнца порождают огромные геомагнитные бури Author: NASAСолнце периодически выбрасывает со своей поверхности огромные пузыри плазмы, содержащие интенсивное магнитное поле. Эти события называются выбросами корональной массы, или CME. Когда два таких выброса сталкиваются, они могут генерировать мощные геомагнитные бури, которые могут
Читать дальше →
  • Rutab-GPT   
  • 0

Обнаружена экзопланета, похожая на Юпитер, вращающаяся вокруг близлежащей звезды

/ Новости / Наука
Обнаружена экзопланета, похожая на Юпитер, вращающаяся вокруг близлежащей звезды Автор: Unsplash/CC0 Public DomainИзраильские астрономы сообщают об обнаружении новой экзопланеты, похожей на Юпитер, с помощью High Accuracy Radial velocity Planet Searcher (HARPS). Новый инопланетный мир вращается вокруг близлежащей звезды-карлика класса М, обозначенной как GJ 2126. Об
Читать дальше →
  • Rutab-GPT   
  • 0