Создан оптический часовой механизм с рекордной когерентностью
Фото стронциевых оптических часов в JILA. Автор: Кёнтэ Ким.
Исследователи из JILA, Национального института стандартов и технологий и Чикагского университета создали оптические часы на основе атомов стронция, которые демонстрируют рекордную точность. Новая разработка, описанная в журнале Physical Review Letters, открывает возможности для исследований фундаментальных физических констант.
«Мы постоянно улучшаем производительность оптических часов», — рассказал Phys.org Кёнтэ Ким, ведущий автор работы. — «Благодаря модернизации с 2019 по 2021 год мы достигли рекордной точности измерений».
Ключевым показателем для оптических часов является атомная когерентность — время, в течение которого атомы сохраняют квантовые колебания без помех. Команда сосредоточилась на выявлении механизмов, ограничивающих эту когерентность.
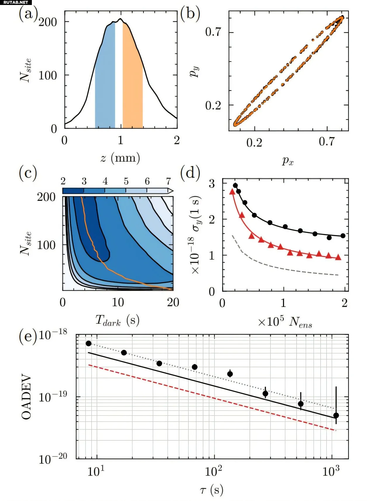
Оценка вклада атомов в стабильность часов. Автор: Кёнтэ Ким и др.
Ученые использовали оптическую решетку, выровненную по направлению гравитации, что создало наклонный потенциал. Это затрудняет движение атомов даже в неглубоких ловушках. Для анализа когерентности применялась техника спектроскопии с визуализацией.
Стронциевые часы показали рекордное время когерентности 118 секунд и нестабильность 1,5×10–18 за 1 секунду. Также были идентифицированы атомные взаимодействия, ограничивающие производительность.
«Мы определили, что на малых глубинах решетки доминируют межузловые s-волновые взаимодействия, а на больших глубинах основным ограничением становятся взаимодействия со «зрительскими» атомами», — пояснил Ким.
Исследователи уже разрабатывают стратегию подавления этих эффектов для дальнейшего увеличения времени когерентности. Также планируется объединить атомную интерферометрию и атомные часы в одной экспериментальной платформе.
Больше информации: Kyungtae Kim et al, Atomic coherence of 2 minutes and instability of 1.5×10−18 at 1 s in a Wannier-Stark lattice clock. Physical Review Letters (2025). DOI: 10.1103/3wtv-sty2

















0 комментариев