Мини-вихри в нанопорах ускоряют зарядку суперконденсаторов
Исследователи из Технического университета Дармштадта обнаружили ранее неизвестное явление, которое может привести к созданию более быстрых накопителей энергии. Оказалось, что в нанопорах электродов суперконденсаторов во время зарядки возникают конвекционные потоки, которые ускоряют транспорт ионов.
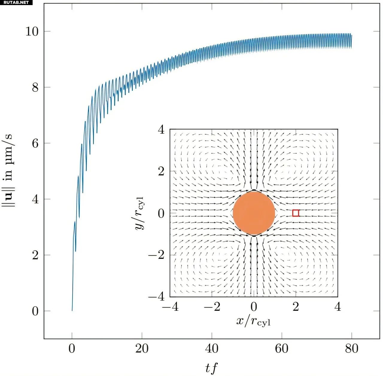
Результаты симуляции. Скорость жидкости на оси X в зависимости от масштабированного времени. Врезка: Поле потока вокруг цилиндра. Красный квадрат указывает точку, в которой оценивается скорость. Автор: Proceedings of the National Academy of Sciences (2025). DOI: 10.1073/pnas.2504322122
В отличие от аккумуляторов, суперконденсаторы хранят энергию в электрических двойных слоях на поверхности электродов. Чем больше площадь поверхности, тем больше ёмкость, поэтому электроды делают пористыми. Ранее считалось, что ионы в нанопорах перемещаются только за счёт диффузии и электромиграции.
Однако сложное компьютерное моделирование показало, что ключевую роль играет конвекция — течение жидкости, которое увлекает за собой частицы. При зарядке заряженный слой ионов сначала формируется у входа в пору, вызывая течение жидкости вдоль её стенок. Поскольку поры закрыты с одного конца, в центре возникает обратный поток, образуя мини-вихрь, который переносит ионы и ускоряет процесс. Пренебрежение этим эффектом приводит к ошибкам в расчёте времени зарядки до 90%.
Учёные также разработали математическую модель, точно предсказывающую этот процесс без трудоёмких симуляций. Это открытие закладывает основу для проектирования суперконденсаторов с более быстрой зарядкой за счёт оптимизации геометрии пор, материалов и рабочего напряжения.







0 комментариев